|
HD-LGA均速管亦称阿牛巴、笛管。均速管是在皮托管测速原理的基础上发展而来的,由于压损小、制造成本低、安装维护方便,各国都有广泛适用。
均速管的测量原理是将整个圆截面分成多个单元面积相等的圆环(中间为圆)。均速管的检测杆是一根中空的金属管。
1、公称直径:25mm≤DN≤6000mm
2、公称压力:PN≤25MPa
3、介质温度:t≤650℃
4、精度等级:1级,1.5级,2.5级
均速管是检测杆、取压口和导杆组成,它横穿管道内部与管轴垂直,在检测杆迎流面上设有多个总压检测孔,分别由总压导压管和静压导压管引出,根据总压与静压的差压值,计算流经管道流量。检测杆的截面形状见下图:
均速管流量计是基于皮托管测速原理上发展起来的,它是通过管道的平均流速及管道的有效截面积的乘积来确定流量的。
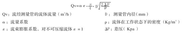
它的流量计算公式为:
1、安装检测杆的测量段应是直的,其上下游直管段长度参照下表所规定的长度。序号上游侧局部阻力件形式上游侧下
|
序号
|
上游侧局部阻力件形式
|
上游侧
|
下
游
侧
|
|
无整流器
|
有整流器
|
|
与检测杆在同一平面内
|
与检测杆不在同一平面内
|
|
1
|
有一个90°弯头或三通
|
7D
|
9D
|
6D
|
3D
|
|
2
|
在同一平面内有两个90°弯头 * *
|
9D
|
14D
|
8D
|
3D
|
|
3
|
在不同一平面内有两个90°弯头 * *
|
19D
|
24D
|
9D
|
4D
|
|
4
|
管道直径改变(收或扩)
|
8D
|
8D
|
8D
|
3D
|
|
5
|
部分开启的闸阀、球阀或其它节流阀
|
24D
|
24D
|
9D
|
4D
|
注:*D为管道标称直径,所给出数据为距离第二个弯头的长度。
2、检测杆插入位置的角度允许偏差范围见图五。
3、对于垂直管道,检测杆可安装在管道水平面沿管道圆周360°的任何位置上,高低压引压管接头应处于同一水平面上。对于水平管道,在测量液体时检测杆插入位置应位于管道横截面水平面中心线45°以下的范围内;测量气体时检测杆插入位置应位于管道横截面水平面中心线45°以上的范围内;测量蒸汽时检测杆应水平插入,见图六:
4、管道上开孔尺寸Φ40。
5、补偿用压力变送器在前直管段上,温度变送器(或铂电阻)装在后直管段上距离节流装置2D处。
|