时差法午夜免费福利(Transit Time Ultrasonic Flowmeter)其工作原理如图1所示。他是利用一对超声波换能器相向交替(或同时)收发超声波,通过观测超声波在介质中的顺溜和逆流传播时间差来间接测量流体的流速,在通过流速来计算流量的一种间接测量方法。
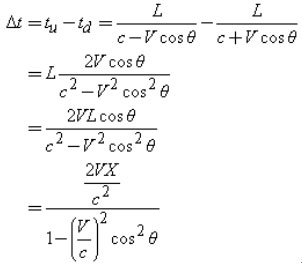
图1中有两个超声波换能器:顺流换能器和逆流换能器,两只换能器分别安装在流体管线的两侧并相距一定距离,管线的内直径为D,超声波行走的路径长度为L,超声波顺流速度为tu,逆流速度为td,超声波的传播方向与流体的流动方向加角为θ。由于流体流动的原因,是超声波顺流传播L长度的距离所用的时间比逆流传播所用的时间短,其时间差可用下式表示:
其中:c是超声波在非流动介质中的声速,V是流体介质的流动速度,tu和td之间的差为
式中X是两个换能器在管线方向上的间距。
为了简化,午夜免费福利假设,流体的流速和超声波在介质中的速度相比是个小量。即:
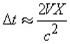
上式可简化为:
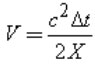
也就是流体的流速为:
由此可见,流体的流速与超声波顺流和逆流传播的时间差成正比。
流量Q可以表示为:
|