logo nu Map
网站首页公司简介产品展示企业动态产品报价技术文章在线留言联系午夜免费福利
江苏午夜成人APP在线观看仪表有限公司
导航菜单
流量计系列
· 智能电磁流量计
· 插入式电磁流量计
· 分体式电磁流量计
· 卫生型电磁流量计
· 阿牛巴流量计
· V锥流量计
· 午夜成人小视频
· 旋进旋涡流量计
· 成人午夜免费视频
· 涡轮流量计
· 转子流量计
· 椭圆齿轮流量计
· 平衡流量计
· 弯管流量计
· 楔形流量计
· 靶式流量计
· 节流装置
· 热式气体质量流量计
· 一体化成人午夜免费视频
· 午夜免费福利
· 气体涡轮流量计
· 金属管浮子流量计
· 温压补偿午夜成人小视频
· 一体化威力巴流量计
· 蒸汽流量计
· 阀门组
温度仪表系列
· 热电阻
· 热电偶
· 温度变送器
· 双金属温度计
压力仪表系列
· 压力变送器
· 差压变送器
· 压力真空表
· 精密压力表
· 膜盒压力表
· 隔膜压力表
· 耐震压力表
· 不锈钢压力表
· 电接点压力表
校验仪表系列
· 校验仿真仪
· 多功能校验仪
· 精密数字压力计
· 全自动校验装置
· 智能压力校验仪
· 手(电,自)动气压源
· 手(电,自)动液压源
液位仪表系列
· 密度计
· 液位变送器
· 锅炉液位计
· 磁翻板液位计
· 超声波液位计
显示,记录仪表系列
· 智能巡检仪
· 智能调节仪
· 无(有)纸记录仪
· 安全栅、隔离器
料位开关/料位计
· 料位计
· 料位开关
mulu
搜索 请输入关键字
联系午夜免费福利
江苏午夜成人APP在线观看仪表有限公司
    址:江苏省金湖工业园区
    编:211600
    话:0517-86500336      
                        86500226
    真:0517-86800636
联系人:杨经      
手机:13915187193(微信同号)
E-mail:jshdyb@163.com
 
技术文章

成人午夜免费视频流量计算公式及应用说明


发布日期:2026-03-09 点击:29次
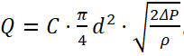
  成人午夜免费视频基于节流原理测量液体流量,通过检测孔板前后的差压信号,结合介质与管道参数,通过标准化公式计算得出实际流量,其核心公式严格遵循ISO 5167GB/T 2624标准,是工业计量中最常用的流量计算方法,公式推导与应用要点如下。
  成人午夜免费视频液体流量的核心计算公式为:。其中,Q为体积流量(单位:m³/h),是计算的核心目标;C为流出系数,与孔板开孔率ββ=d/D,d为孔板开孔直径,D为管道内径)、管道粗糙度及雷诺数相关,需通过标准表格查询或厂家标定获取;ε为膨胀系数,液体因不可压缩性,通常取1,无需额外修正。
公式中关键参数需精准确定:d为孔板实测开孔直径(mm),D为管道实测内径(严禁用标称值,避免误差);ΔP为孔板前后实测差压(kPa),由差压变送器检测获取;ρ为工况温度压力下的介质密度(kg/m³),需根据实际工况参数修正,避免因温度变化导致密度偏差,影响计算精度。
  实际应用中,可对公式进行简化,因液体ε=1,简化为。计算时需先确定流出系数C,通常β0.3~0.7(最佳测量区间)时,C值稳定在0.6~0.7之间,可结合实际β值查询标准手册。
需注意,公式适用于单相、稳定湍流流体,若介质含颗粒、易结垢,需修正C值;计算后需验证最小流量对应的差压是否满足变送器测量范围,确保流量在最佳测量区间内。正确应用该公式,结合精准的参数测量,可使成人午夜免费视频测量误差控制在±1%以内,满足工业过程监控与计量需求。
相关新闻:
电磁流量计衬里磨损检测技术要点
涡轮流量计对液体清洁度的技术要求
液体涡轮流量计轴承润滑方式及应用要点
成人午夜免费视频流量计算公式及应用说明
电磁流量计衬里更换技术规程
午夜成人小视频漩涡频率与流速的换算原理及公式
成人午夜免费视频的取压方式有哪些?
午夜免费福利的探头如何安装?
电磁流量计的绝缘电阻如何测量?
成人午夜免费视频的安装直管段长度要求是多少?
江苏午夜成人APP在线观看仪表有限公司  版权所有     地址:江苏省金湖工业园区   邮编:211600
           电话:0517-86500226   86500336 传真:0517-86800636   手机:13915187193    联系人:杨经理
E-mail:jshdyb@163.com   GoogleSitemap   baidusitemap 网址:http://www.9xiw.com 
网站地图