logo nu Map
网站首页公司简介产品展示企业动态产品报价技术文章在线留言联系午夜免费福利
江苏午夜成人APP在线观看仪表有限公司
导航菜单
流量计系列
· 智能电磁流量计
· 插入式电磁流量计
· 分体式电磁流量计
· 卫生型电磁流量计
· 阿牛巴流量计
· V锥流量计
· 午夜成人小视频
· 旋进旋涡流量计
· 成人午夜免费视频
· 涡轮流量计
· 转子流量计
· 椭圆齿轮流量计
· 平衡流量计
· 弯管流量计
· 楔形流量计
· 靶式流量计
· 节流装置
· 热式气体质量流量计
· 一体化成人午夜免费视频
· 午夜免费福利
· 气体涡轮流量计
· 金属管浮子流量计
· 温压补偿午夜成人小视频
· 一体化威力巴流量计
· 蒸汽流量计
· 阀门组
温度仪表系列
· 热电阻
· 热电偶
· 温度变送器
· 双金属温度计
压力仪表系列
· 压力变送器
· 差压变送器
· 压力真空表
· 精密压力表
· 膜盒压力表
· 隔膜压力表
· 耐震压力表
· 不锈钢压力表
· 电接点压力表
校验仪表系列
· 校验仿真仪
· 多功能校验仪
· 精密数字压力计
· 全自动校验装置
· 智能压力校验仪
· 手(电,自)动气压源
· 手(电,自)动液压源
液位仪表系列
· 密度计
· 液位变送器
· 锅炉液位计
· 磁翻板液位计
· 超声波液位计
显示,记录仪表系列
· 智能巡检仪
· 智能调节仪
· 无(有)纸记录仪
· 安全栅、隔离器
料位开关/料位计
· 料位计
· 料位开关
mulu
搜索 请输入关键字
联系午夜免费福利
江苏午夜成人APP在线观看仪表有限公司
    址:江苏省金湖工业园区
    编:211600
    话:0517-86500336      
                        86500226
    真:0517-86800636
联系人:杨经      
手机:13915187193(微信同号)
E-mail:jshdyb@163.com
 
技术文章

弯管流量计系统误差源的研究


发布日期:2020-06-09 点击:2256次
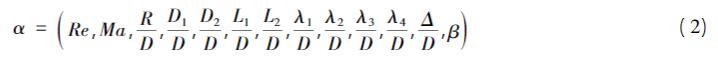
  造成弯管流量计系统误差的根源主要来自三个方面。第一个方面来自流量计本体的结构及精确度,第二个方面是来自对于测量流体介质及其流动状态了解和把握的认知程度,第三个方面是来自安装使用的合理性。这里主要讨论第一和第三个方面的偏于结构和应用方面的理论研究内容。对于流体介质则采用熟知的水介质,不作为本文的重点研究内容。依据文献[1]中给出基于纳维-斯托克斯微分方程(N-S方程)数值解的弯管流量计理论模型可以研究任何影响项的内容,因此给出本文重点关注内容的表达式由(1)、(2)给出

式中α为流量系数,它既引入了弯管流量计本体结构内容也包含了有关安装使用的内容

其中,ν为平均流速;Re为雷诺数;Ma为马赫数;R/D为弯管弯径比; (D1,,D2)为前后直管段管径;  (L,,L2)为前后直管长度; (λ1,λ2)表示外侧取压孔位置; (λ3,λ4)表示内侧取压孔位置;Δ为管道内壁粗糙度;β为弯管流量计的安装偏转角度。
  通过确定上式所有参数并且求解N-S方程就可以得到如下基本理论研究结果
1、弯径比R/D的变化对于弯管流量计测量准确度的影响是显著的通过带入不同的弯径比数值可以得到N-S方程的数值解α(Re)如下图2所示

图2给出的研究结果表明,表征弯管流量计的特征参数“弯径比”对弯管流量计性能具有显著影响,因此确定并且严格控制弯管流量计的弯径比参数是研制高精度弯管流量计产品的重要控制指标内容,也是实现弯管流量计如同其它差压式流量计建立干标定检定规程的重要内容.
2、差压压力测量孔准确位置的确定对于弯管流量计的测量准确度也具有特别重要的影响为分析弯管流量计差压压力测量孔位置对准确度的影响,通过进行N-S方程数值计算和对应实验发现其影响也是不可忽视的。图3同时给出了对应弯管流量计内外侧母线压力分布的理论计算曲线和实验测定的压力值.

由图3可知,随取压角度位置变化,内、外侧母线压力产生较大变化,对于弯管流量计45°常规取压结构,其内侧45度附近压力梯度变化更大。因此准确确定弯管流量计内外侧压力测量孔的位置对于高精度产品的研制和批量生产也具有特别重要的意义。
3、直管段管径D1,D2与弯管流量计管径D产生偏差的影响弯管流量计的应用过程也和所有流量计遇到的情况一样,经常是直接采用了既有工艺系统的工艺管道作为弯管流量计的直管段,因此直管段的管径D1,D2与弯管流量计管径D产生偏差是经常存在的。图4给出了根据直管段管径偏差求解N-S方程得到的流量系数α与管径比D1/D的影响关系曲线

  应用现场的工艺管道与专门定制了管径的流量计发生1%级别的偏差情况是经常发生的,其根源在于作为与流量计连接使用的直管段通常采用既有工艺管道,而我国的工艺管道通常又是以管道外径为名义尺寸生产制造的、并且其管道壁厚具有多个系列。这样就导致不能确切知道直管段管径与弯管流量计管径偏差的大小和方向,产生的测量误差往往就归类为随机误差的范畴。因此对于高精度使用的弯管流量计必须如同使用喷嘴和成人午夜免费视频一样,对直管段管径也要提出严格配套的要求。
相关新闻:
电磁流量计衬里磨损检测技术要点
涡轮流量计对液体清洁度的技术要求
液体涡轮流量计轴承润滑方式及应用要点
成人午夜免费视频流量计算公式及应用说明
电磁流量计衬里更换技术规程
午夜成人小视频漩涡频率与流速的换算原理及公式
成人午夜免费视频的取压方式有哪些?
午夜免费福利的探头如何安装?
电磁流量计的绝缘电阻如何测量?
成人午夜免费视频的安装直管段长度要求是多少?
江苏午夜成人APP在线观看仪表有限公司  版权所有     地址:江苏省金湖工业园区   邮编:211600
           电话:0517-86500226   86500336 传真:0517-86800636   手机:13915187193    联系人:杨经理
E-mail:jshdyb@163.com   GoogleSitemap   baidusitemap 网址:http://www.9xiw.com 
网站地图