logo nu Map
网站首页公司简介产品展示企业动态产品报价技术文章在线留言联系午夜免费福利
江苏午夜成人APP在线观看仪表有限公司
导航菜单
流量计系列
· 智能电磁流量计
· 插入式电磁流量计
· 分体式电磁流量计
· 卫生型电磁流量计
· 阿牛巴流量计
· V锥流量计
· 午夜成人小视频
· 旋进旋涡流量计
· 成人午夜免费视频
· 涡轮流量计
· 转子流量计
· 椭圆齿轮流量计
· 平衡流量计
· 弯管流量计
· 楔形流量计
· 靶式流量计
· 节流装置
· 热式气体质量流量计
· 一体化成人午夜免费视频
· 午夜免费福利
· 气体涡轮流量计
· 金属管浮子流量计
· 温压补偿午夜成人小视频
· 一体化威力巴流量计
· 蒸汽流量计
· 阀门组
温度仪表系列
· 热电阻
· 热电偶
· 温度变送器
· 双金属温度计
压力仪表系列
· 压力变送器
· 差压变送器
· 压力真空表
· 精密压力表
· 膜盒压力表
· 隔膜压力表
· 耐震压力表
· 不锈钢压力表
· 电接点压力表
校验仪表系列
· 校验仿真仪
· 多功能校验仪
· 精密数字压力计
· 全自动校验装置
· 智能压力校验仪
· 手(电,自)动气压源
· 手(电,自)动液压源
液位仪表系列
· 密度计
· 液位变送器
· 锅炉液位计
· 磁翻板液位计
· 超声波液位计
显示,记录仪表系列
· 智能巡检仪
· 智能调节仪
· 无(有)纸记录仪
· 安全栅、隔离器
料位开关/料位计
· 料位计
· 料位开关
mulu
搜索 请输入关键字
联系午夜免费福利
江苏午夜成人APP在线观看仪表有限公司
    址:江苏省金湖工业园区
    编:211600
    话:0517-86500336      
                        86500226
    真:0517-86800636
联系人:杨经      
手机:13915187193(微信同号)
E-mail:jshdyb@163.com
 
技术文章

热式气体质量流量计测量方法的选择


发布日期:2020-06-23 点击:2824次
  为了热式气体质量流量计选择一种更加合理可靠的测量方法作为采样方法,针对两种测量方法建立了物理模型和测量电路,通过现有的科研设备进行了实际测量,根据得到的实验数据绘制线性曲线,并通过分析曲线的姿态分析测量方法的可行性和可靠性,从而选择一种更加合理的方法进行设计。

  恒流测量原理如上图所示。两个Pt100铂电阻温度传感器分别连接恒流源,Rc和Rw为金属铂电阻探头.其中Rw通过Ic(5mA)提供测量电流,探头本身不发热,用于测试环境温度;Rw通过Iw(50mA)提供加热电流,探头被加热到气体温度80℃以上,作为测试流速的传感器。此时气体流速与两个铂电阻之间的温差关系直接对应两个铂电阻的电阻阻值差的关系。
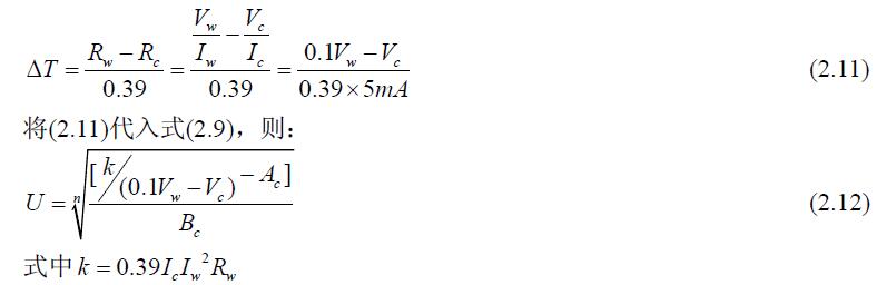
  由式(2.10)可知:

  根据流体学原理,式(2.12)中n的取值与雷诺数Re成对应关系.根据热式气体质量流量计的测量范围,本实验中取Re的范围为40~4000,此时n取0.466。
  在气流温度一定时,Vc为固定值,则此时除了加热电阻的电压Vw和气体流速U之外的其他参数均为常量,于是可以得到w V 和气体流速U个一对应的函数关系。跟据式(2.12)作出电压-流速的理想关系曲线:

  由图2-4可见,使用恒流测量法测量流体质量流量,在质量流量从0~100kg/h区间变化时,曲线的斜率出现较大变化;在0~5kg/h区间内斜率接近0,在小流量下流量计采样电压灵敏度过高,而在20~100kg/h区间内斜率又趋近无穷,即采样电压的灵敏度过低,因此难以满足流量计的精度要求。
  从恒流测量的理想曲线可以得出结论:本流量计不适用于采用此种测量方法。

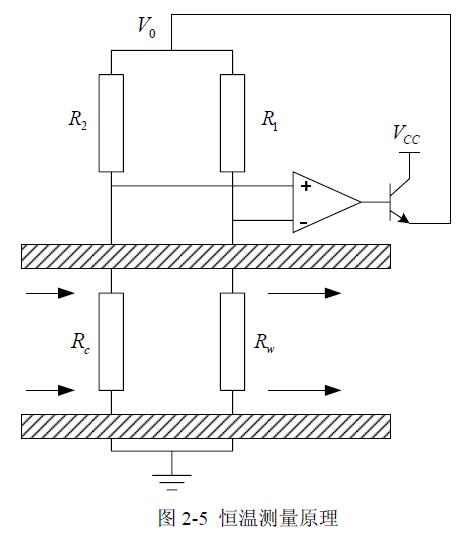
  与恒流测量模式相比,恒温测量模式的铂电阻维持在一个恒定的工作温度当被测气体流速变化时,传感器元件的热惯性可以自动调整.如图2-5所示,电路中由R1,R2,Rc,Rw组成电桥,其中Rw为金属铂电阻探头,用于测量流速;R1,R2,Rc为精密电阻,根据电桥测量原理,满足Rc/R2=Rw/R1。恒温测量在电路中引入了一个反馈放大器,当流速变化时,利用反馈控制电路中电桥的电流以保持Rw工作温度恒定,即当流速变化导致Rw有变化趋势时,控制电路使Rw保持不变。
  定温反馈控制过程如下:当流速增加时,铂电阻表面温度降低,Rw降低,放大器负输入端电势降低,引起放大器输入电压增大,导致输出电压增大,使流过Rw的电流Iw增大Iw的上升导致通过Rw的热量增加,Rw的温度随之升高,因而使得放大器负输入端电势升高,放大器输出减小,电路恢复平衡.
  以上过程是瞬间发生的,从输入输出关系来看,气体流速U 的上升,立即引起放大器输出电压的增加;反之,气体流速的降低,也立即引起输出电压的降低。现在,运算放大器的响应频率一般较高,故恒温测量模式下传感器可以保持温度恒定(很高频率的流速变化除外)。
  在图2-5中,输出电压选用R1两端的电压V1.由式(2.9):

  由式(2.14)可得到采样电压和气体流速的理想关系曲线,如图2-6所示。
  由图可见,使用恒温测量法测量气体流速时,测量曲线的斜率变化较为平滑,使得测量精度相比恒功率测量得到了很大的提高,在低流速时斜率较大,具有很好的低流速灵敏度;高流速时曲线的线性度较好,精确度较高。
  综上所述,本文选择恒温模式作为热式气体质量流量计的测量方法。
相关新闻:
电磁流量计衬里磨损检测技术要点
涡轮流量计对液体清洁度的技术要求
液体涡轮流量计轴承润滑方式及应用要点
成人午夜免费视频流量计算公式及应用说明
电磁流量计衬里更换技术规程
午夜成人小视频漩涡频率与流速的换算原理及公式
成人午夜免费视频的取压方式有哪些?
午夜免费福利的探头如何安装?
电磁流量计的绝缘电阻如何测量?
成人午夜免费视频的安装直管段长度要求是多少?
江苏午夜成人APP在线观看仪表有限公司  版权所有     地址:江苏省金湖工业园区   邮编:211600
           电话:0517-86500226   86500336 传真:0517-86800636   手机:13915187193    联系人:杨经理
E-mail:jshdyb@163.com   GoogleSitemap   baidusitemap 网址:http://www.9xiw.com 
网站地图