金属管浮子流量汁是一种普遍的变面积型流量仪表.浮子流量计在测量过程中始终保持节流件(浮子)前后的压降不变,通过改变流通面积来改变流体体积流量的检测仪表.因其具有构造简单,工作可靠,价格低廉,对仪表前后直管段要求低等优点,被广泛用于气体、液体、蒸汽流量的测量中.
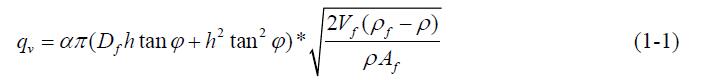
如图1-1所示,浮子流量计管体两端通过用法兰、螺纹、软管或卡箍等与测量管道密封连接;当被测流体自下而上地流过浮子流量计时,流体将推动浮子向上运动,此时,浮子受到自身的重力G、浮子上下表面产生差压力F1以及浮子在流体中受到的浮力F2,浮子在这三个力的作用下在管体内沿管轴上下运动当浮子在流体中所受的差压力F1和浮力F2的合力小于浮子本身的重力G时,浮子将下降,使浮子和孔板间的圆环面积变小,则圆环截面处流体流速上升,从而使差压力F2变大,浮子将上升,否则,浮子将下降.直至F1与F2的合力与G相等时,浮子将稳定的悬停在管体的某一高度h处上,通过测量h即知道流体的流速qv.其计算公式如下:
式中:α是为浮子流量计的流量系数;Df是浮子最大直径;Af是浮子迎流面积;Vf是浮子体积;ϕ为孔板的锥角;ρ是流体介质密度;ρf是浮子材料密度,ρ为流体介质密度
一般情况下,ϕ值很小,通常在5°左右,h2tanϕ2近似为零,因此可将其忽略不计,所以体积流量为
只要保持流量系数α为常数,流量qv与浮子高度h之间就存在近似线性的对应关系.可以将这种对应关系直接刻度在流量计的管体上,根据浮子的高度直接读出流量值,也可通过远传信号将其传送给二次仪表显示和记录.
金属管浮子流量汁主要用于测量管径中等、流速不高的液体、气体或蒸汽介质.常用仪表口径有DN50,DN40,DN25,DN15等.浮子流量计的高度一般为250mm对上游直管段长度要求不高,量程比一般为10:1,流体流向有下进上出,左进右出,下进侧出等. |