网站首页
公司简介
产品展示
企业动态
产品报价
技术文章
在线留言
联系午夜免费福利
流量计系列
·
智能电磁流量计
·
插入式电磁流量计
·
分体式电磁流量计
·
卫生型电磁流量计
·
阿牛巴流量计
·
V锥流量计
·
午夜成人小视频
·
旋进旋涡流量计
·
成人午夜免费视频
·
涡轮流量计
·
转子流量计
·
椭圆齿轮流量计
·
平衡流量计
·
弯管流量计
·
楔形流量计
·
靶式流量计
·
节流装置
·
热式气体质量流量计
·
一体化成人午夜免费视频
·
午夜免费福利
·
气体涡轮流量计
·
金属管浮子流量计
·
温压补偿午夜成人小视频
·
一体化威力巴流量计
·
蒸汽流量计
·
阀门组
温度仪表系列
·
热电阻
·
热电偶
·
温度变送器
·
双金属温度计
压力仪表系列
·
压力变送器
·
差压变送器
·
压力真空表
·
精密压力表
·
膜盒压力表
·
隔膜压力表
·
耐震压力表
·
不锈钢压力表
·
电接点压力表
校验仪表系列
·
校验仿真仪
·
多功能校验仪
·
精密数字压力计
·
全自动校验装置
·
智能压力校验仪
·
手(电,自)动气压源
·
手(电,自)动液压源
液位仪表系列
·
密度计
·
液位变送器
·
锅炉液位计
·
磁翻板液位计
·
超声波液位计
显示,记录仪表系列
·
智能巡检仪
·
智能调节仪
·
无(有)纸记录仪
·
安全栅、隔离器
料位开关/料位计
·
料位计
·
料位开关
请输入关键字
联系午夜免费福利
江苏午夜成人APP在线观看仪表有限公司
地
址:江苏省金湖工业园区
邮
编:
211600
电
话:
0517-86500336
86500226
传
真:
0517-86800636
联系人:杨经
理
手机
:
13915187193
(微信同号)
http://www.9xiw.com
E-mail:
jshdyb@163.com
技术文章
首页
>>
技术文章
什么是时差法午夜免费福利
发布日期:2020-12-14 点击:3711次
传播速度差法
午夜免费福利
利用超声波信号在流动流体中顺流与逆流方向的传播速度差与流体流速的关系求解流体流速。根据测量参数的不同,又可细分为时差法、相差法和频差法,这些检测方法的测量参量分别是顺逆流下超声信号的传播时间、相位和频率。其中时差法流量计测量精度高,受温度、环境影响小,应用广泛;相位法流量计检测原理简单,精度高,但是受环境影响比较大;频差法流量计流量计精度高,受温度影响小,但对噪音、外界环境敏感。本课题所研究的超声流量计测量原理为时差法。
时差法超声流量计测量原理图如图所示其中θ是声道角,即为声道和管道轴线之间的夹角,L为换能器A和换能器B之间的传播距离,D为管道内径,d为换能器A和B之间的安装距离,C0为超声波在静止液体中的传播速度,v0为管道内液体流速为管道内液体流速流传播中具有一定的时间差,超声信号在顺流与逆流方向上传播的时间分别为tAB和tBA,即
由式(2-1)和式(2-2)可以得到在超声信号传播声道上流体平均流速
为
其中
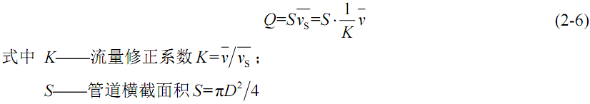
管道内液体流动的面平均流速为
,则管道内体积流量Q为
对于多声道
午夜免费福利
,表示不同声道线上的平均流速,通过特定积分方式可以得到管道体积流量Q为
相关新闻:
电磁流量计衬里磨损检测技术要点
涡轮流量计对液体清洁度的技术要求
液体涡轮流量计轴承润滑方式及应用要点
成人午夜免费视频流量计算公式及应用说明
电磁流量计衬里更换技术规程
午夜成人小视频漩涡频率与流速的换算原理及公式
成人午夜免费视频的取压方式有哪些?
午夜免费福利的探头如何安装?
电磁流量计的绝缘电阻如何测量?
成人午夜免费视频的安装直管段长度要求是多少?
江苏午夜成人APP在线观看仪表有限公司
版权所有
地址:江苏省金湖工业园区
邮编:
211600
电话:
0517-86500226 86500336
传真:
0517-86800636
手机:
13915187193
联系人:杨经理
E-mail
:
jshdyb
@163.com
GoogleSitemap
baidusitemap
网址:
http://www.9xiw.com
主营产品:
流量计
,
成人午夜免费视频
,
电磁流量计
,
V锥流量计
,
磁翻板液位计
网站地图