电磁流量计的磁场由四个线圈构成,对于实际的线圈结构计算磁感应强度B的解析式是困难的。在电磁流量计的假设下,可以合理地将产生交变磁场的四个线圈等效为图1所示的四个磁偶极子,位于垂直于传感器轴向的平面上。根据柱对称的假设,四个磁偶极子的磁感应强度分布可以认为是在垂直于轴向的平面上的分布。
在柱坐标系下求解四个磁偶极子在平面上的矢量磁位A的分布。在该平面上,任意一点的矢量磁位应该为四个磁偶极子产生的矢量磁位叠加,即
A=A1+A2+Ag+A4(1)
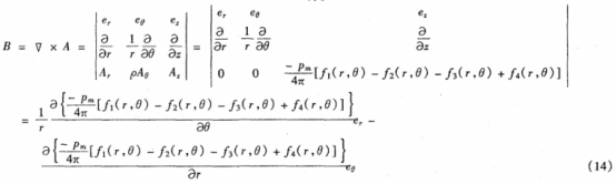
任意一点的磁感应强度B由下式求得:
B=▽xA(2)
如图1所示,四个磁偶极子Pm1,Pm2,Pm3,Pm4的位置在极坐标下分别表示为 四个磁偶极子的极矩数值相等,其值为4Pm=μIS,μ为线圈的磁导率,I为电流强度,s为线圈回路的面积。Pm1和Pm3指向径向,Pm2和Pm4指向与径向相反。
磁偶极矩Pm1在空间任意位置产生的矢量磁位[4]A为:
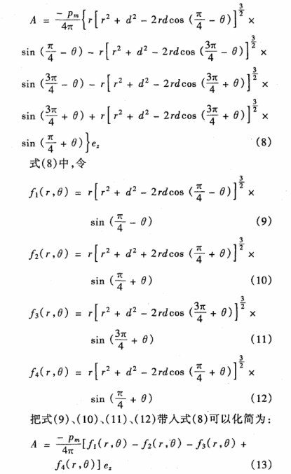
把式(4)、(5).(6).(7)带人式(1)可以得到矢量磁位A的表达式:
由式(13)可知:矢量磁位A沿柱坐标系的Z方向,是变量r,θ的函数。磁感应强度B由式(14)求得。
把式(14)进一步化简求得磁感应强度B的表达式,式(15)即为电磁流量计的磁场解析式。 |