 |
请输入关键字 |
|
|
| 联系午夜免费福利 |
江苏午夜成人APP在线观看仪表有限公司
地 址:江苏省金湖工业园区
邮 编:211600
电 话:0517-86500336
86500226
传 真:0517-86800636
联系人:杨经理
手机:13915187193(微信同号)
E-mail:jshdyb@163.com
|
|
|
流量计在标准误差分析及计算公式 |
|
| 发布日期:2022-10-20 点击:3856次 |
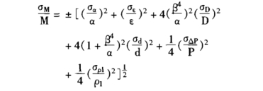
流量计在标准规定状态下计时相对标准误差分析及计算公式
标准节流装置测量是通过间接方式实现的,通过差压仪表测量出差压,再根据流量公式计算出流量值。这样流量测量误差不仅受差压仪表精度的影响,并且还受到公式中各量的影响。如果在煤气的计量中对标准节流装置的设计、制造、安装和使用完全按国家标准的规定进行,其相对标准误差用下式计算:
式中:σm一质量流量测量的标准误差;
σa一糙管流量系数的标准误差;
σe一流束膨胀系数的标准误差;
σ△p一差压测量的标准误差;
σp1一被测流体密度的标准误差;
σD一管道内径的标准误差;
σd一节流件开孔直径的标准误差。
1.流量系数的基本相对误差
流量计系数α是一个影响因素复杂、变化范围较大的重要系数,当管道直径、节流件的形式和开孔直径、取压位置已定,雷诺数大于某-数值(界限累诺数)时,α值可认为是一常数,也只有在测量过程:中α保持为常数才能保证测量的精度,这也是差压式流量计能否达到准确测量的前提。由于流量系数是靠试验提供的,是由很多次测量结果整理计算而得到的,因而由于测量仪表的误差及由于计算时各量的误差累积成流量系数的误差。在不计β、D、Rep和d值的测量误差时,各标准节流装置的α0和α的基本相对误差分别按下列公式计算。
1.1.角接取压标准孔板在节流件上游侧的管道没有管径突变,节流件的安装经检验其偏心率≤1/10x0.015D(1/β-1),环室(或夹紧环)的开孔直径与管道内径相等,在此条件下,角接取压孔板.的光管流量系数α0的基本相对误差为:
2.流束膨胀系数ε的基本相对误差σε/ε.
流束膨胀系数,对于标准喷嘴是通过公式计算出来的,对于标准成人午夜免费视频是靠试验结果整理出来的,.因而是存在误差的。设β、△P/P1和k为已知,且不计其误差时,ε的基本相对误差规定如下:
2.1.角接取压孔板
2..法兰取压标准孔板
σε/ε=±(△P/P1)%
3.管道内径的基本相对误差σD/D
若D20为实测值时,可令σD/D=±0.1%作为估计值;
若D20为管径的公称直径,可令σD/D=±0.5~1.0%。
4.节流开孔直径的基本相对误差σs/d
d20必须实测,可令σd/d≈±0.05%。
5.差压测量的基本相对误差σap/AP
这里仅考虑差压显示仪表误差σ△p/△P的估计方法。
σ△p/△P=1/3ζ△P/△P1
式中ζ为差压仪表的精度等级,△P1为预定的差压测值。在节流设计中,取△Pano
6.煤气密度的基本相对误差σp1/ρ1
|
 |
相关新闻: |
 |
|
|