logo nu Map
网站首页公司简介产品展示企业动态产品报价技术文章在线留言联系午夜免费福利
江苏午夜成人APP在线观看仪表有限公司
导航菜单
流量计系列
· 智能电磁流量计
· 插入式电磁流量计
· 分体式电磁流量计
· 卫生型电磁流量计
· 阿牛巴流量计
· V锥流量计
· 午夜成人小视频
· 旋进旋涡流量计
· 成人午夜免费视频
· 涡轮流量计
· 转子流量计
· 椭圆齿轮流量计
· 平衡流量计
· 弯管流量计
· 楔形流量计
· 靶式流量计
· 节流装置
· 热式气体质量流量计
· 一体化成人午夜免费视频
· 午夜免费福利
· 气体涡轮流量计
· 金属管浮子流量计
· 温压补偿午夜成人小视频
· 一体化威力巴流量计
· 蒸汽流量计
· 阀门组
温度仪表系列
· 热电阻
· 热电偶
· 温度变送器
· 双金属温度计
压力仪表系列
· 压力变送器
· 差压变送器
· 压力真空表
· 精密压力表
· 膜盒压力表
· 隔膜压力表
· 耐震压力表
· 不锈钢压力表
· 电接点压力表
校验仪表系列
· 校验仿真仪
· 多功能校验仪
· 精密数字压力计
· 全自动校验装置
· 智能压力校验仪
· 手(电,自)动气压源
· 手(电,自)动液压源
液位仪表系列
· 密度计
· 液位变送器
· 锅炉液位计
· 磁翻板液位计
· 超声波液位计
显示,记录仪表系列
· 智能巡检仪
· 智能调节仪
· 无(有)纸记录仪
· 安全栅、隔离器
料位开关/料位计
· 料位计
· 料位开关
mulu
搜索 请输入关键字
联系午夜免费福利
江苏午夜成人APP在线观看仪表有限公司
    址:江苏省金湖工业园区
    编:211600
    话:0517-86500336      
                        86500226
    真:0517-86800636
联系人:杨经      
手机:13915187193(微信同号)
E-mail:jshdyb@163.com
 
技术文章

电磁流量计的低功耗算法


发布日期:2022-12-02 点击:1978次
  根据电磁流量计的工作原理可知,电磁流量计的励磁磁场是由线圈中的恒定励磁电流产生的.理想情况下励磁电流是恒定的,但在实际中由于励磁线圈存在电感和电阻,在电流换向时会产生微分干扰.为了排除微分干扰对流量信号的影响,在电流进入稳态后再进行采样,这样微分干扰就不会进入采样信号,对流量不会造成影响.2.13为励磁电流与采样时刻电极电压对应关系图.
  在电磁流量计中,励磁模块的功耗占据着整个流量计功耗的绝大部分的,而励磁模块的功耗主要是由励磁电流和励磁时间决定的.因此,降低励磁模块的功耗可以从励磁电流和励磁时间两部分进行考虑.在励磁电流方面由于受到传感器测量精度的制约,励磁电流不可能减到很小,而励磁时间可以经过合理的设置达到降低功耗的目的.
  本文通过研究提出低功耗算法,此算法是将励磁时间分为励磁状态和休眠状态两个状态分别进行处理,在励磁状态进行正反两次采样并求取两次采样电压值之差作为计算流量的参数,由于励磁时间比较短,在这段时间内可以认为流量是恒定不变的;在休眠阶段采用Hermite插值算法计算在这一阶段流过测量管道的流量值,计算时在a、b两点之间进行Hermite插值,这保证了测量精度.同时设置动态可调的休眠时间,休眠时间越长,系统消耗的平均电流越小,通过合理配置休眠时间可以达到降低系统功耗的目的.2.14为低功耗算法示意图.

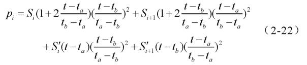
  在计算时,假设t时刻的采样值为f(t),在一个采样周期中要进行两次采样,可设正向励磁时采样值为f2i,反相励磁时采样值为f2i+1,则两次采样值之差为Si=f2i- f2i+1,在采样阶段根据式(1-4)可计算出在这段时间内流过测量管道的流量值.在休眠阶段根据Hermite插值公式计算此时间段内流过的流量,午夜免费福利认为ta时刻的值为Si,tb时刻的值为Si+1,tatb两点的导数值为:

则插值函数为:

  本文在计算插值时,tatb之间均匀的选取5个点作为流量的计算值,这样既保证了电磁流量计计算精度,又避免了选取多个插值点时计算量大的问题.
相关新闻:
电磁流量计衬里磨损检测技术要点
涡轮流量计对液体清洁度的技术要求
液体涡轮流量计轴承润滑方式及应用要点
成人午夜免费视频流量计算公式及应用说明
电磁流量计衬里更换技术规程
午夜成人小视频漩涡频率与流速的换算原理及公式
成人午夜免费视频的取压方式有哪些?
午夜免费福利的探头如何安装?
电磁流量计的绝缘电阻如何测量?
成人午夜免费视频的安装直管段长度要求是多少?
江苏午夜成人APP在线观看仪表有限公司  版权所有     地址:江苏省金湖工业园区   邮编:211600
           电话:0517-86500226   86500336 传真:0517-86800636   手机:13915187193    联系人:杨经理
E-mail:jshdyb@163.com   GoogleSitemap   baidusitemap 网址:http://www.9xiw.com 
网站地图