logo nu Map
网站首页公司简介产品展示企业动态产品报价技术文章在线留言联系午夜免费福利
江苏午夜成人APP在线观看仪表有限公司
导航菜单
流量计系列
· 智能电磁流量计
· 插入式电磁流量计
· 分体式电磁流量计
· 卫生型电磁流量计
· 阿牛巴流量计
· V锥流量计
· 午夜成人小视频
· 旋进旋涡流量计
· 成人午夜免费视频
· 涡轮流量计
· 转子流量计
· 椭圆齿轮流量计
· 平衡流量计
· 弯管流量计
· 楔形流量计
· 靶式流量计
· 节流装置
· 热式气体质量流量计
· 一体化成人午夜免费视频
· 午夜免费福利
· 气体涡轮流量计
· 金属管浮子流量计
· 温压补偿午夜成人小视频
· 一体化威力巴流量计
· 蒸汽流量计
· 阀门组
温度仪表系列
· 热电阻
· 热电偶
· 温度变送器
· 双金属温度计
压力仪表系列
· 压力变送器
· 差压变送器
· 压力真空表
· 精密压力表
· 膜盒压力表
· 隔膜压力表
· 耐震压力表
· 不锈钢压力表
· 电接点压力表
校验仪表系列
· 校验仿真仪
· 多功能校验仪
· 精密数字压力计
· 全自动校验装置
· 智能压力校验仪
· 手(电,自)动气压源
· 手(电,自)动液压源
液位仪表系列
· 密度计
· 液位变送器
· 锅炉液位计
· 磁翻板液位计
· 超声波液位计
显示,记录仪表系列
· 智能巡检仪
· 智能调节仪
· 无(有)纸记录仪
· 安全栅、隔离器
料位开关/料位计
· 料位计
· 料位开关
mulu
搜索 请输入关键字
联系午夜免费福利
江苏午夜成人APP在线观看仪表有限公司
    址:江苏省金湖工业园区
    编:211600
    话:0517-86500336      
                        86500226
    真:0517-86800636
联系人:杨经      
手机:13915187193(微信同号)
E-mail:jshdyb@163.com
 
技术文章

椭圆齿轮流量计的传动特性分析


发布日期:2023-05-12 点击:1255次
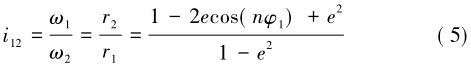
  椭圆齿轮流量计的阶数与偏心率取值不同会改变齿轮副运动参数和传动特性的变化,由椭圆齿轮的节曲线方程推导出以下运动关系。
椭圆齿轮传动比函数:

椭圆齿轮角速度:

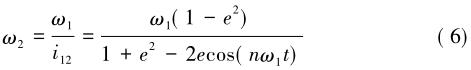
  阶数n和偏心率e是非圆齿轮副传动比函数中重要的变量,因为传动比曲线的凹凸性以及齿轮副的运动性能都与它们有着密切联系。根据传动比函数关系式在MATLAB中编程得出传动比,如图1所示。

  由图1可知:传动比的大小与齿轮副的阶数无关而与偏心率有关,当阶数不变偏心率增加时,随着偏心率的增加,传动比的起伏越来越大。
  从动轮角速度与波动范围的大小将对齿轮传动的平稳性产生影响,当角速度幅值越大时,将造成较大的振动和冲击,导致齿轮的使用寿命被缩短,并且使齿轮传动性能被破坏。因此在实际应用中,为了确保齿轮机构能达到传动要求,需要校验从动轮角速度值。
  由图2可知:当偏心率不变、阶数增加时,每一阶椭圆齿轮流量计副的角速度都呈现出周期性变化;当阶数不变、偏心率增加时,最大值与最小值的差距越来越大,其坡度越陡,传动特性越不平稳,噪声越大。
相关新闻:
电磁流量计衬里磨损检测技术要点
涡轮流量计对液体清洁度的技术要求
液体涡轮流量计轴承润滑方式及应用要点
成人午夜免费视频流量计算公式及应用说明
电磁流量计衬里更换技术规程
午夜成人小视频漩涡频率与流速的换算原理及公式
成人午夜免费视频的取压方式有哪些?
午夜免费福利的探头如何安装?
电磁流量计的绝缘电阻如何测量?
成人午夜免费视频的安装直管段长度要求是多少?
江苏午夜成人APP在线观看仪表有限公司  版权所有     地址:江苏省金湖工业园区   邮编:211600
           电话:0517-86500226   86500336 传真:0517-86800636   手机:13915187193    联系人:杨经理
E-mail:jshdyb@163.com   GoogleSitemap   baidusitemap 网址:http://www.9xiw.com 
网站地图