logo nu Map
网站首页公司简介产品展示企业动态产品报价技术文章在线留言联系午夜免费福利
江苏午夜成人APP在线观看仪表有限公司
导航菜单
流量计系列
· 智能电磁流量计
· 插入式电磁流量计
· 分体式电磁流量计
· 卫生型电磁流量计
· 阿牛巴流量计
· V锥流量计
· 午夜成人小视频
· 旋进旋涡流量计
· 成人午夜免费视频
· 涡轮流量计
· 转子流量计
· 椭圆齿轮流量计
· 平衡流量计
· 弯管流量计
· 楔形流量计
· 靶式流量计
· 节流装置
· 热式气体质量流量计
· 一体化成人午夜免费视频
· 午夜免费福利
· 气体涡轮流量计
· 金属管浮子流量计
· 温压补偿午夜成人小视频
· 一体化威力巴流量计
· 蒸汽流量计
· 阀门组
温度仪表系列
· 热电阻
· 热电偶
· 温度变送器
· 双金属温度计
压力仪表系列
· 压力变送器
· 差压变送器
· 压力真空表
· 精密压力表
· 膜盒压力表
· 隔膜压力表
· 耐震压力表
· 不锈钢压力表
· 电接点压力表
校验仪表系列
· 校验仿真仪
· 多功能校验仪
· 精密数字压力计
· 全自动校验装置
· 智能压力校验仪
· 手(电,自)动气压源
· 手(电,自)动液压源
液位仪表系列
· 密度计
· 液位变送器
· 锅炉液位计
· 磁翻板液位计
· 超声波液位计
显示,记录仪表系列
· 智能巡检仪
· 智能调节仪
· 无(有)纸记录仪
· 安全栅、隔离器
料位开关/料位计
· 料位计
· 料位开关
mulu
搜索 请输入关键字
联系午夜免费福利
江苏午夜成人APP在线观看仪表有限公司
    址:江苏省金湖工业园区
    编:211600
    话:0517-86500336      
                        86500226
    真:0517-86800636
联系人:杨经      
手机:13915187193(微信同号)
E-mail:jshdyb@163.com
 
技术文章

午夜成人小视频信号模型与幅频特征分析


发布日期:2023-05-24 点击:1406次
  当具备一定雷诺数的稳定流体流过一个与流动方向垂直放置的漩涡发生体时,午夜成人小视频漩涡发生体下游两侧会产生交替分离的漩涡,漩涡的分离频率与来流速度成正比关系。涡街传感器通过在一个特定形状的漩涡发生体下游放置一个压电晶体压力传感器,将漩涡分离产生的压力变化转换为电信号。在理想状态下,涡街传感器产生的信号为一个正弦信号,即
 
  因涡街自然信号衰落现象的存在,以及管道中流场不稳定产生的压力变化,涡街信号的幅值与瞬时相位在一定范围内随机变化。因此实际上的涡街信号为一个随机的调幅调频信号,即
 
  其中,为涡街信号的随机频率偏移,其对应的概率密度函数为零均值高斯分布。
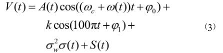
在实际的工作环境中,涡街传感器不可避免地会混入50Hz工频干扰、高斯白噪声信号以及一些机械震动信号。因此总的涡街信号为
 
  其中,K为工频干扰的幅度;为高斯白噪声;为高斯白噪声的方差;为机械震动噪声信号。机械震动噪声有多种来源,其特征也不尽相同。常见的机械震动噪声信号有两大类:
1)持续性震动噪声。机械泵等动力设备运行时会产生震动或者流体压力变化。当震动的幅值较大时,会持续干扰午夜成人小视频的脉冲计数,产生持续误差。
2)突发性震动噪声。管道阀门开关会产生压力突变,意外撞击也会产生强烈震动。这种干扰信号突发峰值较高,但会随时间以指数快速衰减,会对午夜成人小视频的脉冲计数产生瞬时随机干扰。
  持续性震动噪声特征与单频正弦信号几乎相同,可以表示为
 
  突发性震动噪声特征为指数衰减的单频正弦信号,可以表示为
 
  由上述信号模型可以得知,午夜成人小视频信号为宽带信号,震动干扰信号为窄带信号。
相关新闻:
电磁流量计衬里磨损检测技术要点
涡轮流量计对液体清洁度的技术要求
液体涡轮流量计轴承润滑方式及应用要点
成人午夜免费视频流量计算公式及应用说明
电磁流量计衬里更换技术规程
午夜成人小视频漩涡频率与流速的换算原理及公式
成人午夜免费视频的取压方式有哪些?
午夜免费福利的探头如何安装?
电磁流量计的绝缘电阻如何测量?
成人午夜免费视频的安装直管段长度要求是多少?
江苏午夜成人APP在线观看仪表有限公司  版权所有     地址:江苏省金湖工业园区   邮编:211600
           电话:0517-86500226   86500336 传真:0517-86800636   手机:13915187193    联系人:杨经理
E-mail:jshdyb@163.com   GoogleSitemap   baidusitemap 网址:http://www.9xiw.com 
网站地图