logo nu Map
网站首页公司简介产品展示企业动态产品报价技术文章在线留言联系午夜免费福利
江苏午夜成人APP在线观看仪表有限公司
导航菜单
流量计系列
· 智能电磁流量计
· 插入式电磁流量计
· 分体式电磁流量计
· 卫生型电磁流量计
· 阿牛巴流量计
· V锥流量计
· 午夜成人小视频
· 旋进旋涡流量计
· 成人午夜免费视频
· 涡轮流量计
· 转子流量计
· 椭圆齿轮流量计
· 平衡流量计
· 弯管流量计
· 楔形流量计
· 靶式流量计
· 节流装置
· 热式气体质量流量计
· 一体化成人午夜免费视频
· 午夜免费福利
· 气体涡轮流量计
· 金属管浮子流量计
· 温压补偿午夜成人小视频
· 一体化威力巴流量计
· 蒸汽流量计
· 阀门组
温度仪表系列
· 热电阻
· 热电偶
· 温度变送器
· 双金属温度计
压力仪表系列
· 压力变送器
· 差压变送器
· 压力真空表
· 精密压力表
· 膜盒压力表
· 隔膜压力表
· 耐震压力表
· 不锈钢压力表
· 电接点压力表
校验仪表系列
· 校验仿真仪
· 多功能校验仪
· 精密数字压力计
· 全自动校验装置
· 智能压力校验仪
· 手(电,自)动气压源
· 手(电,自)动液压源
液位仪表系列
· 密度计
· 液位变送器
· 锅炉液位计
· 磁翻板液位计
· 超声波液位计
显示,记录仪表系列
· 智能巡检仪
· 智能调节仪
· 无(有)纸记录仪
· 安全栅、隔离器
料位开关/料位计
· 料位计
· 料位开关
mulu
搜索 请输入关键字
联系午夜免费福利
江苏午夜成人APP在线观看仪表有限公司
    址:江苏省金湖工业园区
    编:211600
    话:0517-86500336      
                        86500226
    真:0517-86800636
联系人:杨经      
手机:13915187193(微信同号)
E-mail:jshdyb@163.com
 
技术文章

午夜成人小视频的修正公式误差及不确定度分析


发布日期:2023-06-27 点击:2457次
1.修正误差分析
  为验证上述修正因子拟合公式的准确性,进行了误差分析。误差计算公式为:
 
  式中:δ为修正误差,%;K'gas为空气介质仪表系数修正值,1/m3;Kgas为空气介质仪表系数实验值,1/m3。
四台不同口径实验用
午夜成人小视频仪表系数K的修正结果如图2~5所示。
 
 
  修正误差计算结果如表1所示。
 
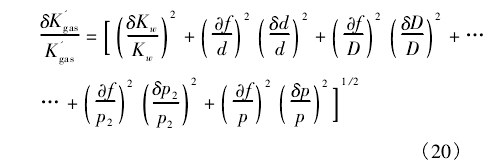
2.修正公式不确定度分析
  由第三节分析可知修正系数的不确定度输入量包括:水介质仪表系数K的测量不确定度、发生体特征宽度d的测量不确定度、测量管内径D的测量不确定度、压力测量的不确定度等。则修正系数的相对标准不确定度的计算公式如下:
 
2.1水介质仪表系数K
  水介质仪表系数K的测量采用静态质量法水3流量标准装置,其流量范围为(0.2~680)rm3/h,测量扩展不确定度为Ur=0.029%,k=2,则:
 
2.2发生体特征宽度d和测量管内径D
  发生体特征宽度和测量管内径的测量采用激光跟踪仪,查询该装置的校准证书得到其测量不确定.度为:UL=(0.5+0.3L)μm,h=2,则:
 
  以DN50的分析结果为例,将各不确定度分量汇总如表2所示。
 
2.4拟合方法引入的不确定度
  考虑曲线拟合法引入的不确定度提出拟合方法的不确定度计算公式如下:
 
  式中:δI为各测试点的修正误差,%;n为测试点个数;v为拟合常数个数(自由度)。
2.5合成标准不确定度
  综上,修正系数的合成标准不确定度为:
 
  4台不同口径的
午夜成人小视频的不确定度分析结果如表3所示。

相关新闻:
电磁流量计衬里磨损检测技术要点
涡轮流量计对液体清洁度的技术要求
液体涡轮流量计轴承润滑方式及应用要点
成人午夜免费视频流量计算公式及应用说明
电磁流量计衬里更换技术规程
午夜成人小视频漩涡频率与流速的换算原理及公式
成人午夜免费视频的取压方式有哪些?
午夜免费福利的探头如何安装?
电磁流量计的绝缘电阻如何测量?
成人午夜免费视频的安装直管段长度要求是多少?
江苏午夜成人APP在线观看仪表有限公司  版权所有     地址:江苏省金湖工业园区   邮编:211600
           电话:0517-86500226   86500336 传真:0517-86800636   手机:13915187193    联系人:杨经理
E-mail:jshdyb@163.com   GoogleSitemap   baidusitemap 网址:http://www.9xiw.com 
网站地图